五年级奥数天天练试题及答案7.24(应用题)
五年级奥数天天练试题及答案
·本周试题由查字典教研部《小学数学计算秘籍》编者赵永明老师精选、解析。
·每周末,我们将一周试题汇总为word版本试卷,您可下载打印或在线阅读。
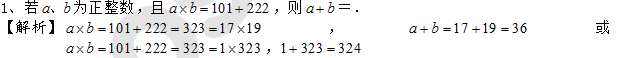
【应用题】

【答案解析】

【五年级奥数天天练试题及答案7.24(应用题)】相关文章:
当前位置: > 奥数天天练 > 五年级汇总 > 五年级奥数天天练试题及答案7.24(应用题)
五年级奥数天天练试题及答案
·本周试题由查字典教研部《小学数学计算秘籍》编者赵永明老师精选、解析。
·每周末,我们将一周试题汇总为word版本试卷,您可下载打印或在线阅读。
【应用题】

【答案解析】

【五年级奥数天天练试题及答案7.24(应用题)】相关文章: